Determine the Pulse Transfer Function and State Space Model of the DC Motor 
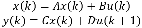
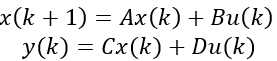
Q1. Which of the following equations represents a general discrete-time state-space model?
Q2. The matrix
in a discrete-time state-space model represents:
in a discrete-time state-space model represents:
Q3. In the discrete-time state-space representation, if
is a diagonal matrix, the system’s states:
is a diagonal matrix, the system’s states:
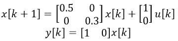
Q4. Given the discrete-time state-space model:
. The eigenvalues of the system matrix are:
. The eigenvalues of the system matrix are:
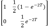
Q5. Obtain the discrete-time state matrix for the given continuous-time state matrix
.
.