Two Tank Water Level Control 
1. Feed forward controller accounts for the __________ changes.
2. Cascade control means _______
3. The derivative control action is typically used when controlling ______, but rarely used when controlling ______.
4. The PD controller is a simplified version of the ______
5. Which one of the following controllers increases the order of the system by one ?
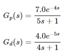
6. Given the following two transfer functions for a process and disturbance, find the feedforward control gain Kff.
7. the PD controller is a ________
8. Which of the following is not a differential pressure flow meter ?
9. The level of a liquid under pressure can be measured using ______
10. On which type of flow, equation of Bernoulli is applicable ?