Tools
Performance Tool
Validation Tool
Aim
Theory
Pretest
Procedure
Simulation
Posttest
References
Contributors
Feedback
Aim
Theory
Pretest
Procedure
Simulation
Posttest
References
Contributors
Feedback
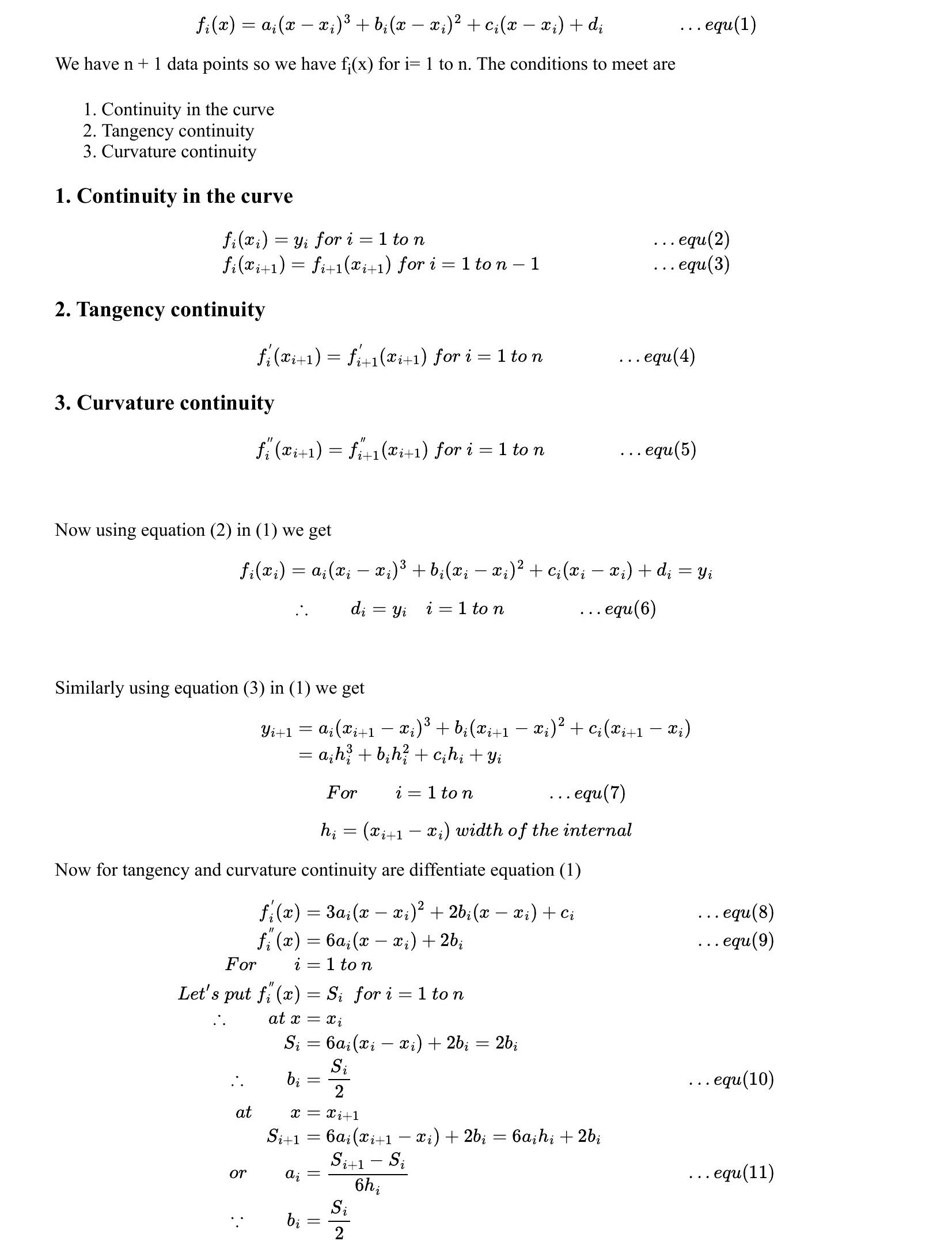
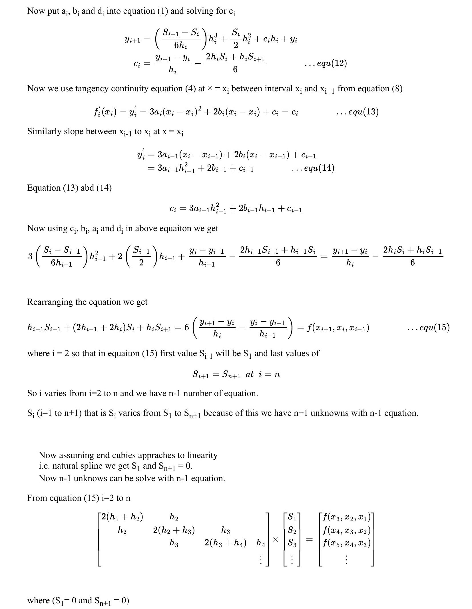
Interpolation: Hermite Cubic Spline Interpolation