Analysis and Synthesis of Boolean Expressions using Basic Logic Gates 
Introduction
About the Experiment
This experiment enables a student to learn
- How to analyze logic gates
- How to express Boolean expression using logic gates
- How to check equivalence of two Boolean expressions using logic gates
- How to check equivalence of two logic circuits consisiting of multiple gates
Theory
Analysis of Logic gates using 7400(quad 2-input NAND gates),7402(quad 2-input NOR gates), 7404(HEX inverter),7408(quad 2-input AND gates),7432(quad 2-input OR gates). Diagrams of each chip are shown in Figure
Figure 1
Figure 2
Figure 3
Figure 4 Fig: 1 . 7400(quad 2 input NAND gates) Fig: 2 . 7402 (quad 2 input NOR gates) Fig: 3 . 7404(HEX inverter)Fig: 4 . 7432(quad 2-input OR gates)
(a) AB+AC+BC=AB+AC
According to consensus theorem,the Boolean identity holds.
In the above picture both circuits are equivalent.
(b) AB+AC=(A+C)(A+B)
According to consensus theorem,the Boolean identity holds.
In the above picture both circuits are equivalent.
(c)Verify eqivalence of AND-OR and NAND-NAND structure
In the above picture both circuits are equivalent.
(d)Verify eqivalence of OR-AND and NOR-NOR structure
In the above picture both circuits are equivalent.
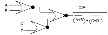
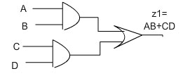
Student may be asked to wire up the network of gates shown in the above figures.They can next verify that the output of the two circuits,viz z1 and z2 should attain the same value for each of the eight possible input combinations assigned to the variables A,B,C,and D.